Low-Noise Amplifiers (LNAs) are key RF chips for receiving weak signals. They achieve high-fidelity signal amplification and optimized signal-to-noise ratio through extremely low noise figures. SDSX's GaAs LNAs focus on the second-generation semiconductor material GaAs, optimizing circuit design to reduce noise and achieve good input/output matching and high isolation. They also provide high gain and linearity to ensure distortion-free signal amplification. With excellent performance parameters, reliable quality, competitive pricing, and stable delivery, the GaAs LNA series has been widely used in industries such as mobile communications, automotive electronics, and satellite communications, helping to upgrade the performance of RF microwave systems.

Typical Product: The GSL802AD is an LNA based on GaAs pHEMT technology and certified by AEC-Q100 for automotive applications. It operates in the 1–2 GHz frequency range and integrates input/output matching circuits. It features low noise figure, high gain, high linearity, and high gain flatness, and has been mass-produced for automotive navigation applications.

Gain Blocks are important components in RF transceiver chains, providing lossless signal amplification. SDSX's GaAs Gain Block series helps users simplify PCB layout, improve system performance, and reduce the cost of RF microwave systems, making them highly popular among users.

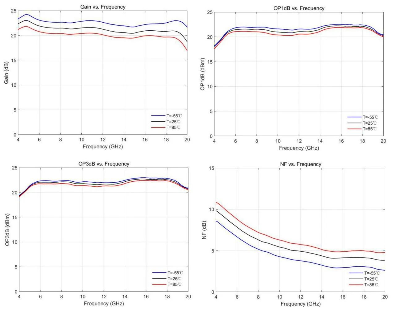
Typical Product: The GSD018P1AQ is a high-performance GaAs MMIC gain block, packaged in an industry-standard QFN. It operates in the 5–20 GHz frequency range, powered by 5V, and provides 21 dB of gain, 21 dBm P1dB, and 20% PAE. With 50Ω input/output impedance, it offers superior broadband performance and is widely used in microwave point-to-point communications, 5G mmWave base stations, and RF microwave systems in instrumentation.

In addition to the above products, SDSX offers a range of RF chips and modules based on Si RF/GaAs/GaN processes, as well as complete solutions. These include power amplifiers, RF switches, limiters, attenuators, phase shifters, T/R modules, and more for users to choose from.
Previous article: SDSX Launches Dual-C
Next article: SDSX Launches the Se