低噪声放大器(LNA)是接收微弱信号的关键射频芯片,通过极低噪声系数实现信号高保真度放大并优化信噪比。时代速信GaAs LNA聚焦于第二代半导体GaAs材料,优化电路设计以降低噪声,实现输入输出的良好匹配及高隔离度,同时提供高增益与线性度,确保信号无失真放大。凭借优秀的参数性能、可靠的质量、有竞争力的价格和稳定的交付,GaAs LNA系列产品已广泛应用于移动通信、汽车电子、卫星通信等行业,助力射频微波系统性能升级。

典型产品:GSL802AD是基于GaAs pHEMT工艺并通过车规AEC-Q100认证的LNA,工作频率为1GHz-2GHz,内部集成输入输出匹配电路,具有低噪声系数、高增益、高线性、高增益平坦度的优点,已大批量应用于汽车导航场景。

增益模块(Gain Block)是射频收发链路中的重要器件,实现信号的无损放大。时代速信GaAs Gain Block系列产品帮助用户简化PCB板布局、改善系统性能、降低射频微波系统成本,深受用户推崇。

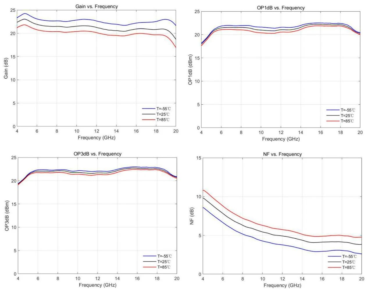
典型产品:GSD018P1AQ是高性能GaAs MMIC增益模块,采用行业标准QFN封装。工作频率为5-20GHz,5V供电,可提供21dB增益,21dBm P1dB和20%PAE,输入输出端口阻抗为50Ω,宽带性能优越,广泛应用于微波点对点通讯、5G毫米波基站、仪器仪表等射频微波系统。

除上述产品外,时代速信提供基于Si RF/ GaAs/ GaN工艺的射频芯片、模组产品和整体解决方案,包括功率放大器、射频开关、限幅器、衰减器、移相器、T/R模组等产品供用户选用。
上一篇: 时代速信发布双通道接收SiP模块
下一篇: SDSX发布第二代硅基幅相多功能芯片